Сейчас на сайте
2 абонентов
На торговой площадке представлены предложение и спрос на бензин, дизельное топливо, мазут и битум, нефть, газ и другие нефтепродукты российских предприятий.

Главная >> Информация >> ГОСТы >> ГОСТ 9965-76. Нефть для нефтеперерабатывающих предприятийПечать

ГОСТ 9965-76. Нефть для нефтеперерабатывающих предприятий [01.03.21]
ГОСТ 9965-76 на портале
Государственные стандарты, стандарты отраслей не являются объектом авторского права (р.1,ст.6,п.4 "Закона о стандартизации N 5154-1").

ГОСТ используeтся на NGE.RU в видах нефтепродуктов:
Группа А22
М      Е      Ж      Г      О      С      У      Д      А      Р      С      Т       В      Е      Н      Н      Ы      Й           С      Т      А      Н      Д      А      Р      Т


НЕФТЬ ДЛЯ НЕФТЕПЕРЕРАБАТЫВАЮЩИХ ПРЕДПРИЯТИЙ

Технические условия


Petroleum for oil-processing plants.
Specifications
ГОСТ
9965-76
МКС 75.040
ОКП 02 4000

Дата введения 01.01.77

        Настоящий стандарт распространяется на нефть, поставляемую нефтеперерабатывающим предприятиям и предназначенную для переработки.
        Стандарт не распространяется на нефти, уникальные по физико-химическому составу (приложение) .
        (Измененная редакция, Изм. № 1).
 
1.ТЕХНИЧЕСКИЕ ТРЕБОВАНИЯ

        1.1. В зависимости от степени подготовки устанавливаются I, II и III группы нефти.

        1.2. По показателям степени подготовки нефть должна соответствовать нормам, указанным в таблице.

Наименование показателя Норма для группы Метод испытания
I II III
1. Концентрация хлористых солей, мг/дм3, не более 100300900По ГОСТ 21534
2. Массовая доля воды, %, не более 0,51,01,0По ГОСТ 2477
3. Массовая доля механических примесей, %, не более 0,05По ГОСТ 6370 и по п. 3.2 настоящего стандарта
4. Давление насыщенных паров, кПа(мм рт. ст.), не более66,7
(500)
По ГОСТ 1756

        (Измененная редакция, Изм. № 1).

        1.3. В зависимости от массовой доли серы нефти подразделяют на три класса:
        1 - малосернистые (до 0,60 %);
        2 - сернистые (от 0,61 до 1,80 %);
        3 - высокосернистые (более 1,80 %).
        В зависимости от плотности при 20 °С каждый класс нефти подразделяют на три типа:
        1 - легкие (до 850 кг/м3);
        2 - средние (от 851 до 885 кг/м3);
        3 - тяжелые (более 885 кг/м3).
        П р и м е ч а н и е. Требования к разделению нефтей на классы и типы введены с 01.01.91. Определение было обязательно для набора данных до 01.01.91.
        (Измененная редакция, Изм. № 1, 2).

        1.4. Условное обозначение нефтей состоит из трех цифр, соответствующих классу, типу и группе.
        П р и м е р. Нефть Самотлорского месторождения с массовой долей серы 0,96 % (класс 2), плотностью 842,6 кг/м3 (тип 1), концентрацией хлористых солей 72 мг/дм3, массовой долей воды 0,3 % (группа I) обозначают 2.1.1.
        (Введен дополнительно, Изм. № 1).

 
2.ПРАВИЛА ПРИЕМКИ

        2.1. Нефть принимают партиями. Партией считают любое количество однородной по показателям качества нефти, сопровождаемое одним документом о качестве.

        2.2. Объем выборки - по ГОСТ 2517.

        2.3. При получении неудовлетворительных результатов испытаний хотя бы по одному из показателей по нему проводят повторные испытания удвоенного количества пробы.

        Результаты повторных испытаний распространяются на всю партию.

 
3. МЕТОДЫ ИСПЫТАНИЙ

        3.1. Отбор проб - по ГОСТ 2517. Объем объединенной пробы не менее 2 дм3.
        (Измененная редакция, Изм. № 1).

        3.2. Механические примеси определяют по ГОСТ 6370 с дополнительной промывкой фильтра горячей водой и проверкой промывной воды на отсутствие ионов хлора.

        3.3. (Исключен, Изм. № 1).

        3.3.1. Температуру водяной бани, равную температуре нефти при ее сдаче, во время испытания поддерживают с погрешностью не более 0,3 °С.

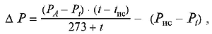
        3.3.2. При определении давления насыщенных паров нефти поправку на изменение давления воздуха и насыщенных паров воды в воздушной камере (АР), в паскалях (мм рт. ст.), вычисляют по формуле


        где РA - атмосферное давление, Па (мм рт. ст.);
        t - температура воздуха в воздушной камере, °С;
        tИС - температура, при которой определяют давление насыщенных паров нефти, °С;
        Pt и РИС - давление насыщенных паров воды при температурах t и tИС, Па (мм рт. ст.).

        3.4. Определение массовой доли серы - по ГОСТ 1437 или по ГОСТ 3877. При разногласиях в оценке качества нефти определение проводят по ГОСТ 1437.

        3.5. Определение плотности - по ГОСТ 3900.
        3.4; 3.5. (Введены дополнительно, Изм. № 1).

 
4. МАРКИРОВКА, ТРАНСПОРТИРОВАНИЕ И ХРАНЕНИЕ

        4.1. Маркировка, транспортирование и хранение нефти - по ГОСТ 1510.
 
5. ТРЕБОВАНИЯ БЕЗОПАСНОСТИ

        5.1. Нефть является жидким горючим продуктом с температурой вспышки ниже 0 °С и температурой самовоспламенения выше 500 °С.

        5.2. Предельно допустимая концентрация нефтяных паров в воздушной среде производственных помещений 300 мг/м3.

        5.3. При работе с нефтью следует применять индивидуальные средства защиты согласно типовым отраслевым нормам, утвержденным в установленном порядке.
        (Измененная редакция, Изм. № 1).

        5.4. При загорании небольших количеств разлитой нефти необходимо применять песок, кошму, пенные огнетушители; при развившихся пожарах необходимо применять воду от лафетных стволов, химическую и механическую пену.

 
ПРИЛОЖЕНИЕ
Справочное
ПЕРЕЧЕНЬ НЕФТЕЙ, УНИКАЛЬНЫХ ПО ФИЗИКО-ХИМИЧЕСКОМУ СОСТАВУ
 
Наименование нефтей Признак уникальности
1. Троице-Анастасиевская IV горизонта Имеет особо низкую температуру застывания
2. Мангышлакская Имеет высокое содержание парафина, малосернистая
3. Тенгизская Содержит сероводород и меркаптаны, большое содержание светлых фракций
4. Жанажол-Кенкиякская Повышенное содержание сероводорода
5. Азербайджанские (суша и море) Тяжелые малосернистые нефти
6. Ярегская Особо тяжелая, шахтной добычи
7. Нефть для дорожных работ Особо тяжелая, высокосмолистая. Сдается по специальным техническим условиям
8. Нефти, сдаваемые для трубопроводного транспорта Сдаются внутри Миннефтепрома СССР по специальным техническим условиям. По ряду показателей отличаются от требований стандарта
9. Нефть, поставляемая для экспорта Сдается по специальным техническим условиям
        (Введено дополнительно, Изм. № 1).
 

ИНФОРМАЦИОННЫЕ ДАННЫЕ

 

  1. РАЗРАБОТАН И ВНЕСЕН Министерством нефтяной промышленности СССР

  2. УТВЕРЖДЕН И ВВЕДЕН В ДЕЙСТВИЕ Постановлением Государственного комитета СССР по стандартам от 04.11.76 № 2499

  3. ВЗАМЕН ГОСТ 9965-62

  4. ССЫЛОЧНЫЕ НОРМАТИВНО-ТЕХНИЧЕСКИЕ ДОКУМЕНТЫ
     
    Обозначение НТД, на который дана ссылка Номер пункта Обозначение НТД, на который дана ссылка Номер пункта
    ГОСТ 1437-75 1.3 ГОСТ 3877-88 1.3
    ГОСТ 1510-84 4.1 ГОСТ 3900-85 1.3, 3.4
    ГОСТ 1756-20001.2 ГОСТ 6370-83 1.1, 3.2
    ГОСТ 2477-65 1.2 ГОСТ 11011-851.3
    ГОСТ 2517-85 2.2, 3.1ГОСТ 21534-761.2

  5. Ограничение срока действия снято по протоколу № 2-92 Межгосударственного Совета по стандартизации, метрологии и сертификации (ИУС 2-93)

  6. ИЗДАНИЕ с Изменениями № 1, 2, утвержденными в августе 1988 г., декабре 1989 г. (ИУС 12-88, 4-90), Поправкой (ИУС 6-96)


ГОСТ 9965-76 на портале

*[01.03.21] - дата проверки актуальности ГОСТа администратором








Copyright © 1999-2026, NGE.RU – проект группы "Текарт".
Карта сайта... PDA-версия...
При любом использовании материалов NGE.RU ссылка обязательна.
Политика конфиденциальности
Пользовательское соглашение
Реклама на NGE.RU
Top.Mail.Ru Ваши замечания и предложения направляйте на info@nge.ru